3377体育网站网页-优惠多多-快速访问
网站首页
关于我们
3377体育概况
历史沿革
现任领导
团队队伍
队伍建设
教师风采
正高级讲师(...
高级讲师
讲师
助理讲师
人才招聘
招生简章
教学管理
机构设置
教研室设置
敦煌舞教研室
舞蹈教研室
戏曲教研室
音乐教研室
政文教研室
党建之窗
教学成果
科研机构
甘肃省舞台艺...
甘肃省敦煌舞...
戏曲人才培养...
敦煌舞表演艺...
下载专栏
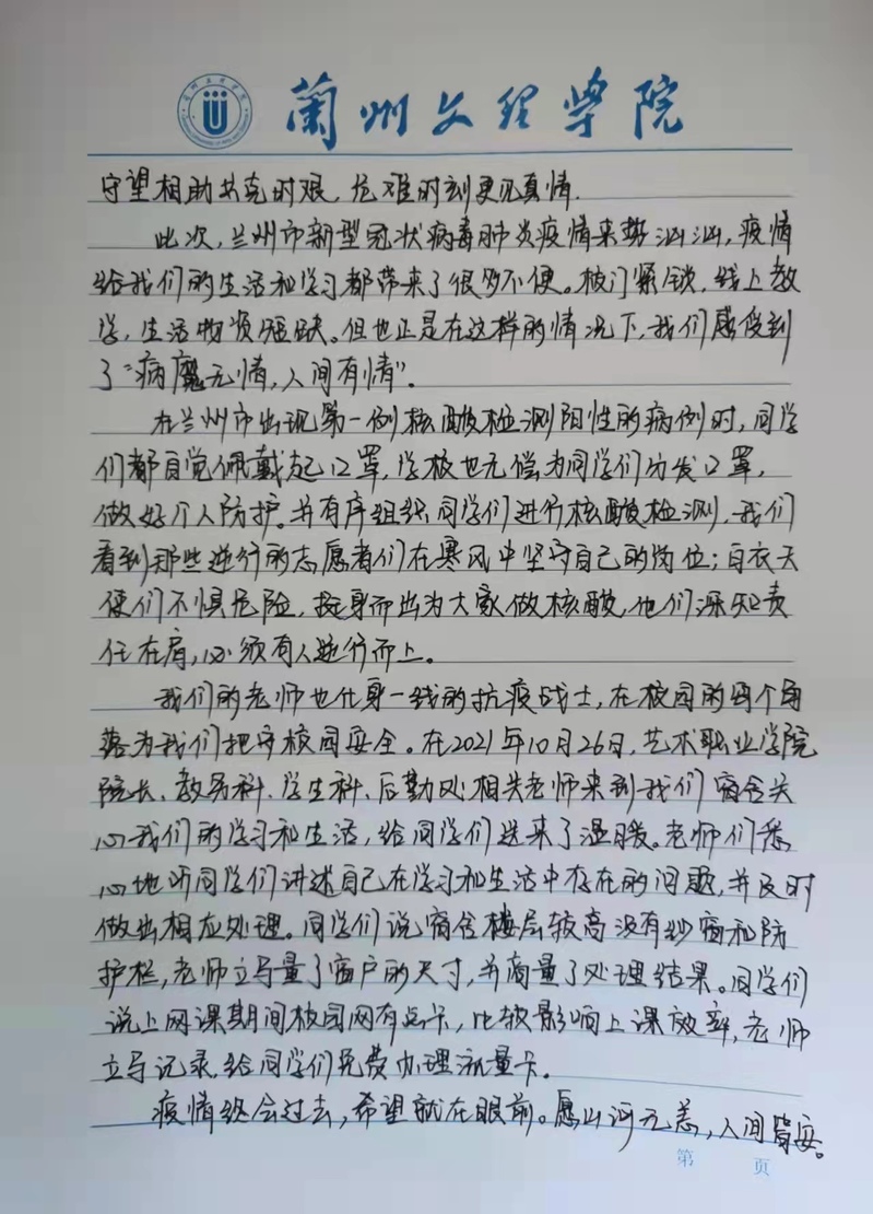
守望相助共克时艰 危难时刻更见真情
来源:3377体育
发布时间:2021-11-15
浏览次数:
261
撰稿:
图片:
通讯员:
审核: